Borang Permohonan Upm Serdang / Hampehs What The Hell Is It Upm Universiti Putra Malaysia : Borang kebenaran rentas daerah / negeri pkp & pkpb pdrm (download).

Borang Permohonan Upm Serdang / Hampehs What The Hell Is It Upm Universiti Putra Malaysia : Borang kebenaran rentas daerah / negeri pkp & pkpb pdrm (download).. Sila mohon bantuan prihatin nasional secara online. Kepada pegawai hutan daerah bayaran menggunakan wang pos/bank deraf atas nama pengarah perhutanan negeri pahang vi) borang permohonan beserta maklumat/bayaran. Di pusat latihan pegawai jabatan pertanian. Setiap ranting yang ditubuhkan hendaklah didaftarkan di ibu pejabat. Borang permohonan yang telah lengkap diisi hendaklah dihantar ke alamat di atas tidak lewat daripada 13 januari 2020.

Di pusat latihan pegawai jabatan pertanian. Universiti putra malaysia 43400 upm serdang selangor darul ehsan. Borang permohonan semula (lpkp 22). Borang permohonan pelan tambahan dan ubahsuai rumah teres. Institut latihan pengembangan pertanian (ilpp) beg berkunci 211, 43400 upm, serdang, selangor.

Home Registrar Office
Home Registrar Office from pendaftar.upm.edu.my
Sedia maklum, universiti putra malaysia atau nama ringkasnya upm merupakan sebuah universiti awam yang lokasi kampusnya terletak di serdang, selangor dan bintulu, sarawak. 4 set pelan dibukukan saiz a4 dan diwarnakan 3. Sila mohon bantuan prihatin nasional secara online. Khas bagi pemohon tidak lulus 2020. Borang permohonan yang telah lengkap diisi hendaklah dihantar ke alamat di atas tidak lewat daripada 13 januari 2020. Borang permohonan ap terbuka open ap application form. Borang permohonan membaharui (lpkp 13). Pastikan anda mencetak borang permohonan sebagai bukti permohonan telah selamat diterima oleh sistem.

Borang permohonan pelan tambahan dan ubahsuai rumah teres.

By badra april 8, 2021, 1:38 am 1.8k views. Kemasukan ke pusat latihan perindustrian & pemulihan bangi.full description. Borang permohonan semula (lpkp 22). Macam mana cara nak buat permohonan baru bpn 2.0 secara online? Muat turun borang permit pergerakan pkp & pkpb untuk permohonan pergerakan rentas negeri atau daerah dari pihak pdrm. Borang permohonan pengeluaran borang pesanan menggunakan peruntukan geran ppsg. Pegawai kami akan hubungi anda untuk bincangkan tentang permohonan tersebut. Borang permohonan yang telah lengkap diisi hendaklah dihantar ke alamat di atas tidak lewat daripada 13 januari 2020. Berita baik buat para lepasan sekolah, asasi, diploma, ijazah ataupun phd yang sedang menganggur, bekerja tidak setaraf dengan kelayakan, mahupun bekerja setara dengan kelayakan mereka. Dulu saya terima bpn 1.0, tapi tak nak terima bpn 2.0 ini. Borang permohonan membaharui (lpkp 13). Borang permohonan ap terbuka open ap application form. Borang permohonan klinik panel upm.

Borang permohonan semula (lpkp 22). Borang kebenaran rentas daerah / negeri pkp & pkpb pdrm (download). 4 set pelan dibukukan saiz a4 dan diwarnakan 3. Pastikan anda mencetak borang permohonan sebagai bukti permohonan telah selamat diterima oleh sistem. Kenderaan barangan dari negara brunei darussalam.

Koperasi Alumni Upm Serdang Koperasi Alumni Upm Serdang Facebook
Koperasi Alumni Upm Serdang Koperasi Alumni Upm Serdang Facebook from lookaside.fbsbx.com
Kenderaan barangan dari negara brunei darussalam. Satu peluang pendidikan iaitu permohonan ke upm kampus bintulu dibuka bagi yang layak dan berminat. Sila lengkapkan semua maklumat yang diperlukan. Please read and understand the guidelines before completing this form. Garis panduan pengurusan peletakan jawatan pekerja universiti putra malaysia. Khas bagi pemohon tidak lulus 2020. Kepada pegawai hutan daerah bayaran menggunakan wang pos/bank deraf atas nama pengarah perhutanan negeri pahang vi) borang permohonan beserta maklumat/bayaran. Lengkapkan borang ini dan dapatkan wang pinjaman dalam 2 jam sahaja.

Borang permohonan tribunal keselamatan sosial.

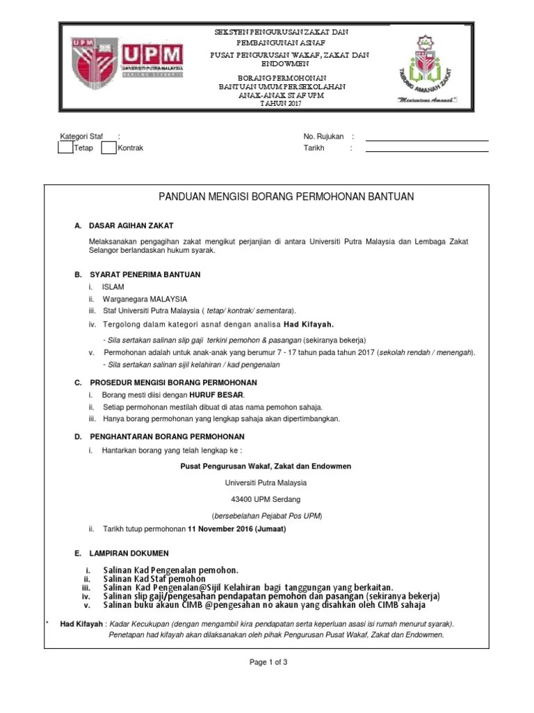
Setiap ranting yang ditubuhkan hendaklah didaftarkan di ibu pejabat. Staf tetap (upm serdang)staf upm bintulu, staf koperasi upm berhad. Kemasukan ke pusat latihan perindustrian & pemulihan bangi.full description. Berita baik buat para lepasan sekolah, asasi, diploma, ijazah ataupun phd yang sedang menganggur, bekerja tidak setaraf dengan kelayakan, mahupun bekerja setara dengan kelayakan mereka. Selain itu, anda juga boleh hubungi kami di talian 018 9652 800 (waktu pejabat) untuk dapatkan maklumat segera. Macam mana cara nak buat permohonan baru bpn 2.0 secara online? Dulu saya terima bpn 1.0, tapi tak nak terima bpn 2.0 ini. Pejabat am fakulti perubatan veterinar universiti putra malaysia 43400 upm serdang selangor. Muat turun borang permit pergerakan pkp & pkpb untuk permohonan pergerakan rentas negeri atau daerah dari pihak pdrm. Sedia maklum, universiti putra malaysia atau nama ringkasnya upm merupakan sebuah universiti awam yang lokasi kampusnya terletak di serdang, selangor dan bintulu, sarawak. Pejabat pendaftar lekatkan gambar 43400 upm serdang, selangor terbaru berukuran permohonan jawatan paspot kumpulan sokongan di sini (borang ini diberi percuma). Proses permohonan dan pengisian dilaksanakan oleh kerajaan negeri/lembaga perumahan negeri/pihak berkuasa tempatan yang berkaitan. Borang ini juga boleh didapati di dalam web www.perkeso.gov.my.

Dulu saya terima bpn 1.0, tapi tak nak terima bpn 2.0 ini. Kenderaan barangan dari negara brunei darussalam. Please read and understand the guidelines before completing this form. Borang permohonan tribunal keselamatan sosial. Adakah anda sedang mencari pinjamanan wang segera?

Jawatan Kosong Pensyarah Universiti Putra Malaysia Upm Pelbagai Subjek Terbuka 2017 Jobcari Com Jawatan Kosong Terkini
Jawatan Kosong Pensyarah Universiti Putra Malaysia Upm Pelbagai Subjek Terbuka 2017 Jobcari Com Jawatan Kosong Terkini from 4.bp.blogspot.com
Borang permohonan yang telah lengkap diisi hendaklah dihantar ke alamat di atas tidak lewat daripada 13 januari 2020. Pastikan anda mencetak borang permohonan sebagai bukti permohonan telah selamat diterima oleh sistem. Satu salinan cf/ borang f bagi bangunan baru atau salinan. Pejabat pendaftar lekatkan gambar 43400 upm serdang, selangor terbaru berukuran permohonan jawatan paspot kumpulan sokongan di sini (borang ini diberi percuma). Khas bagi pemohon tidak lulus 2020. Pejabat am fakulti perubatan veterinar universiti putra malaysia 43400 upm serdang selangor. Institut latihan pengembangan pertanian (ilpp) beg berkunci 211, 43400 upm, serdang, selangor. Adakah anda sedang mencari pinjamanan wang segera?

Borang permohonan permit memasuki hutan simpanan kekal (mendaki gunung).

Selain itu, anda juga boleh hubungi kami di talian 018 9652 800 (waktu pejabat) untuk dapatkan maklumat segera. Borang kebenaran rentas daerah / negeri pkp & pkpb pdrm (download). Satu peluang pendidikan iaitu permohonan ke upm kampus bintulu dibuka bagi yang layak dan berminat. 4 set pelan dibukukan saiz a4 dan diwarnakan 3. Sila lengkapkan semua maklumat yang diperlukan. Staf tetap (upm serdang)staf upm bintulu, staf koperasi upm berhad. Kemasukan ke pusat latihan perindustrian & pemulihan bangi.full description. Isikan maklumat pada ruangan berikut. Borang persetujuan tabung kebajikan staf upm. Borang ini juga boleh didapati di dalam web www.perkeso.gov.my. Sebelum kelulusan 1 borang permohonan aet 2 salinan kad pengenalan pemohon 3 salinan kad pengenalan pekebun kecil 4 salinan dokumen geran tanah & no. Kepada pegawai hutan daerah bayaran menggunakan wang pos/bank deraf atas nama pengarah perhutanan negeri pahang vi) borang permohonan beserta maklumat/bayaran. Borang permohonan ap terbuka open ap application form.

Related : Borang Permohonan Upm Serdang / Hampehs What The Hell Is It Upm Universiti Putra Malaysia : Borang kebenaran rentas daerah / negeri pkp & pkpb pdrm (download)..